

The AI painting that was sold for $432,500. (A screenshot from the official website of Christie’s auction house)
AI has already "mastered" writing poetry and singing, and recently, a painting that was “created” by AI went under the hammer at Christie’s auction house in New York, selling for an incredible $432,500.
According to the auction house, the transaction price was almost 45 times higher than the estimate.
The painting in question is a portrait of a man named Edmond Belamy, and in place of a signature is a mathematical equation.

The painting's introduction. (A screenshot from the official website of Christie’s auction house)
An article published on the auction house's official website states that this transaction "marks that AI art has entered the world auction stage."
However, humans were still present behind this AI creation. Obvious, an art group from France, helped to create the painting. The team is dedicated to exploring the connection between art and AI.
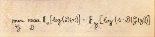
The website quoted the team’s introduction of how they helped AI to paint - they input data of 15,000 portraits from the 14th to the 20th century to the system, so the generator could produce a new image. They then used the discriminator to distinguish the differences between human works of art and the generated images.

The signature of this painting is a mathematical equation. (A screenshot from the official website of Christie’s auction house)
“We found that portraits can prove our point of view, that is, algorithms can imitate ideas,” said one member of the team.
At the same time, there are reports saying that other members believe AI painting will become a new art form, but its purpose is not to replace human painters.
Fire brigade in Shanghai holds group wedding
Tourists enjoy ice sculptures in Datan Town, north China
Sunset scenery of Dayan Pagoda in Xi'an
Tourists have fun at scenic spot in Nanlong Town, NW China
Harbin attracts tourists by making best use of ice in winter
In pics: FIS Alpine Ski Women's World Cup Slalom
Black-necked cranes rest at reservoir in Lhunzhub County, Lhasa
China's FAST telescope will be available to foreign scientists in April
"She power" plays indispensable role in poverty alleviation
Top 10 world news events of People's Daily in 2020
Top 10 China news events of People's Daily in 2020
Top 10 media buzzwords of 2020
Year-ender:10 major tourism stories of 2020
No interference in Venezuelan issues
Biz prepares for trade spat
Broadcasting Continent
Australia wins Chinese CEOs as US loses